티스토리 뷰
ㄷ파동-입자 이중성은 양자역학의 기본 개념으로, 빛과 입자가 동시에 파동과 입자의 성질을 가지는 현상입니다. 1801년 토머스 영의 빛의 간섭 실험을 시작으로, 1924년 루이 드 브로이의 가설 제기와 1927년 데이비슨-거머 실험을 통해 입증되었습니다. 슈뢰딩거의 파동함수와 슈뢰딩거 방정식은 입자와 파동을 동시에 설명하는 수학적 표현을 완성했습니다. 이 개념은 우리가 물리학과 세계를 이해하는데 필수적이며, 지속적으로 연구되고 있다.

파동-입자 이중성의 발견
파동-입자 이중성의 발견은 20세기 초 양자역학의 형성에 결정적인 역할을 한 실험인 영국 과학자 토머스 영(Thomas Young)의 빛의 간섭 현상 관찰 및 프랑스 과학자 루이 드 브로이(Louis de Broglie)의 가설 제기에서 시작되었습니다. 이를 통해 나중에 양자역학의 핵심 원리가 개발되었습니다.
영의 빛의 간섭 실험
1801년, 영은 빛의 파동적인 성격을 입증하기 위해 빛의 간섭 현상을 실험하였습니다. 이 실험에서는 빛이 두 개의 길로 나누어지고, 이렇게 나누어진 빛들이 교차하는 지점에서 서로 간섭하여 밝고 어두운 무늬가 생겼습니다. 이 결과는 빛이 파동이라는 것을 증명하는 중요한 발견이 되었습니다.

브로이의 파동-입자 이중성 가설
1924년, 브로이는 빛이 파동인데도 동시에 입자인 광자로 조성됨을 알고, 빛처럼 입자와 파동 모두의 성격을 가진 것이 더 있을 가능성을 제기했습니다. 이를 통해 모든 입자는 파동으로도 존재할 수 있다는 가설을 세웠습니다. 그의 가설에 따르면 특정 입자의 파장은 플랑크 상수를 입자의 운동량으로 나눈 것과 동일합니다.
데이비슨-거머 실험
브로이의 가설은 1927년에 데이비슨과 거머에 의해 입증되었습니다. 그들은 전자 빔을 얇은 금속박막에 쏘아 입자-파동 이중성 현상을 관찰했습니다. 이로 인하여 파동-입자 이중성은 옳은 것으로 입증되었습니다.
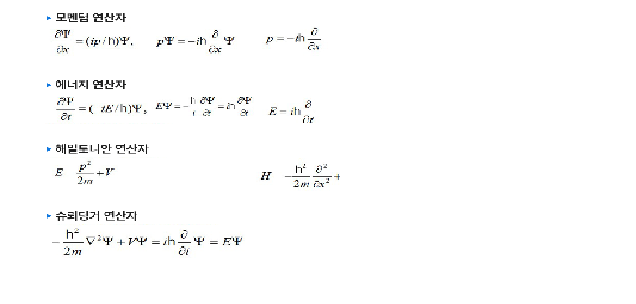
파동함수와 슈뢰딩거 방정식
브로이의 가설이 입증된 후, 오스트리아 과학자 슈뢰딩거는 파동함수와 슈뢰딩거 방정식이라는 개념을 도입하여 입자와 파동을 동시에 설명하는 수학적 표현을 완성했습니다. 이 방정식을 통해 물체의 입자-파동 이중성이 설명이 가능해졌습니다.

결론: 파동-입자 이중성의 중요성
최근 물리학의 발전으로 명확해진 것은 모든 입자는 동시에 파동과 입자의 성격을 가질 수 있다는 것입니다. 이러한 패러독스는 과학자들에게 양자역학의 근본적인 원리와 세계의 복잡성에 대한 이해를 높이도록 하였습니다. 파동-입자 이중성은 우리가 물리학과 세계를 이해하는 데 있어 필수적인 개념이며, 그 중요성과 위력은 지속적으로 연구되고 있습니다.
양자역학-헤이젠베리크 불확정성 원리
헤이젠베르크 불확정성 원리는 양자역학의 핵심 원리로, 입자의 위치와 운동량을 동시에 정확하게 측정할 수 없다는 원칙을 의미합니다. 이 원리는 양자역학의 불확정성과 확률적 성질을 설명
facet1.halluwon.com
양자 역학-슈뢰딩거 고양이
슈뢰딩거의 고양이는 양자역학의 패러독스 중 하나로, 슈퍼 포지션과 얽힘의 개념을 활용하여 고양이의 생존 상태와 관련된 모순을 제시했습니다 슈퍼 포지션 원리는 양자역학적 시스템이 여
facet1.halluwon.com